〔周转对剩余价值的生产,从而对利润的生产的影响,已经在第二册作了说明。这种影响可以简述如下:因为周转需要持续一段时间,所以,在生产中不能同时使用全部资本;一部分资本总是以货币资本的形式,以储存的原料的形式,以已经制成但尚未售出的商品资本的形式,或者以尚未到期的债权的形式闲置起来;在实际生产中即在创造和占有剩余价值中发生作用的资本,总是要减去这个部分,而所创造和占有的剩余价值,也总是要按相同的比例减少。所以,周转时间越短,同全部资本相比,这个闲置的资本部分就越小,因此,在其他条件相同时,所占有的剩余价值也就越大。
第二册已经详细说明,周转时间或它的两个部分(生产时间和流通时间)中的任何一个部分的缩短,都会增加所生产的剩余价值量。46但是,因为利润率表示的,只是所生产的剩余价值量和参加剩余价值量生产的总资本的比率,所以,很清楚,每一次这样的缩短,都会提高利润率。我们以前在第二册第二篇对剩余价值的阐述,同样适用于利润和利润率,没有必要在这里重复。不过,我们要着重指出几个要点。
缩短生产时间的主要方法是提高劳动生产率,这就是人们通常所说的工业进步。如果这不会同时由于添置昂贵的机器等等而引起总投资的大大增加,从而不会引起按总资本计算的利润率的降低,那么利润率就必然会提高。在冶金工业和化学工业上许多最新的进步中,情况确实是这样。贝色麦、西门子、吉尔克里斯特—托马斯等人新发明的炼铁炼钢法,就以较少的费用,把以前需时很长的过程缩短到最低限度。由煤焦油提炼茜素或茜红染料的方法,利用现有的生产煤焦油染料的设备,已经可以在几周之内,得到以前需要几年才能得到的结果。茜草生长需要一年,然后还需要让茜根长几年,等茜根成熟,才能制成染料。
缩短流通时间的主要方法是改进交通。近50年来,交通方面已经发生了革命,只有18世纪下半叶的工业革命才能与这一革命相比。在陆地上,碎石路已经被铁路排挤到次要地位,在海上,缓慢的不定期的帆船已经被快捷的定期的轮船航线排挤到次要地位,并且整个地球布满了电报网。苏伊士运河才真正开辟了通往东亚和澳洲的轮船交通。1847年,运往东亚的商品的流通时间,至少还需要12个月(见第二册第235页47),现在已经减少到12个星期左右。1825年到1857年期间的两大危机策源地,美国和印度,由于交通手段的这种变革,同欧洲的工业国家靠近了70%—90%,因而失去了它们的爆发能力的大部分。全世界贸易的周转时间,都已经按相同的程度缩短,参加世界贸易的资本的活动能力,已经增加到两倍或三倍多。不用说,这不会不对利润率发生影响。
要把总资本的周转对利润率的影响纯粹地表示出来,我们就必须假定,互相比较的两个资本的其他一切条件是相等的。所以,除了要假定剩余价值率和工作日相等,还特别要假定资本的百分比构成相等。假定资本A的构成是80c+20v=100C,剩余价值率为100%,资本每年周转两次。这样,年产品就是:
160c+40v+40m。但是在求利润率时,我们不是按周转的资本价值200来计算40m,而是按预付资本价值100来计算。因此,p′=40%。
让我们用这个资本和资本B=160c+40v=200C比较一下。资本B有同样的剩余价值率100%,但每年只周转一次。这样,年产品就和上述的年产品一样是:
160c+40v+40m。但在这个场合,40m要按预付资本200来计算,利润率只有20%,也就是只有资本A的利润率的一半。
由此可见:在资本百分比构成相等,剩余价值率相等,工作日相等的时候,两个资本的利润率和它们的周转时间成反比。如果在互相比较的两种情况中,资本构成不相等,或剩余价值率不相等,或工作日不相等,或工资不相等,那当然会造成利润率的进一步的差别;但这些事情同周转无关,所以也同我们这里的问题无关;而且这些事情已经在第三章研究过了。
周转时间的缩短对剩余价值的生产,从而对利润的生产的直接影响,在于使可变资本部分由此提高效率。这一点我们在第二册第十六章《可变资本的周转》中考察过了。那里指出,一个每年周转10次的可变资本500,和一个剩余价值率相等、工资相等、但每年只周转一次的可变资本5 000,会在这个时间内占有同样多的剩余价值。
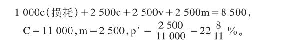
我们假定资本I是由固定资本10 000(它每年损耗10%=1 000)、流动不变资本500和可变资本500构成。剩余价值率100%,可变资本每年周转10次。为简便起见,我们在以下所有例子中都假定,流动不变资本也和可变资本一样在同一时间内进行周转,而实际情况大多也是这样的。因此,每个周转期间的产品将是:
100c(损耗)+500c+500v+500m=1 600
每年周转10次,全部年产品就是:
1 000c(损耗)+5 000c+5 000v+5 000m=16 000,
C=11 000,m=5 000,p′=
%。
我们现在假定有资本II:其中固定资本9 000,每年的损耗1 000,流动不变资本1 000,可变资本1 000,剩余价值率100%,可变资本每年周转5次。因此,可变资本每个周转期间的产品将是:
200c(损耗)+1 000c+1 000v+1 000m=3 200,
周转5次,全部年产品就是:
1 000c(损耗)+5 000c+5 000v+5 000m=16 000,
C=11 000,m=5 000,p′=
%。
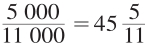
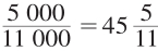
我们再假定有资本III,其中完全没有固定资本,只有流动不变资本6 000和可变资本5 000。剩余价值率100%,每年周转一次。这时,一年的全部产品就是:
6 000c+5 000v+5 000m=16 000,
C=11 000,m=5 000,p′=
%。
因此,在所有这三个场合,我们有相同的年剩余价值量=5 000;并且,因为所有这三个场合的总资本相同,即=11 000,所以也有相同的利润率
%。
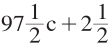
但是,如果上述资本I的可变部分不是每年周转10次,而是每年只周转5次,情况就不同了。这时,周转一次得到的产品就是:
200c(损耗)+500c+500v+500m=1 700。
或年产品是:

利润率下降了一半,因为周转时间延长了一倍。
因此,一年内占有的剩余价值量,等于可变资本一个周转期间所占有的剩余价值量乘以一年内可变资本周转的次数。如果我们把一年内占有的剩余价值或利润叫做M,一个周转期间所占有的剩余价值叫做m,一年内可变资本周转的次数叫做n,那么,M=mn,年剩余价值率M′=m′n。这一点已经在第二册第十六章第I节说明过了。48
不言而喻,利润率的公式p′=m′v/C=m′v/(c+v),只有在分子中的v和分母中的v是同一个东西的时候,才是正确的。在分母中,v是总资本中平均作为可变资本用于工资的整个部分。在分子中,v首先只是由下面的事实规定的:它曾经生产并占有一定量的剩余价值m;而剩余价值和v的比率m/v,就是剩余价值率m′。只是通过这样的途径,p′=m/(c+v)这个方程式才转化为另一个方程式p′=m′v/(c+v)。现在,分子中的v要进一步加以规定:它必须和分母中的v,也就是和资本C中的整个可变部分相等。换句话说,p′=m/C这个方程式,只有在m是指可变资本的一个周转期间所生产的剩余价值的时候,才能够转化为另一个方程式p′=m′v/(c+v)而不致发生错误。如果m只包括这个剩余价值的一部分,那么m=m′v固然还是正确的,但这个v在这里,就比C=c+v中的v小,因为它比投在工资上的全部可变资本小。但是,如果m比v周转一次得到的剩余价值大,那么这个v的一部分,甚至它的全部,就曾经两次执行职能,先是在第一次周转中,然后又在第二次周转中,或者,在第二次以及以后各次周转中执行职能;所以,生产剩余价值并代表所付工资总额的v,就比c+v中的v大,因此计算也就不正确了。
要使年利润率的公式完全正确,我们必须用年剩余价值率代替简单的剩余价值率,即用M′或m′n代替m′。换句话说,我们必须让剩余价值率m′——或者让C中所含的可变资本部分v——乘以这个可变资本在一年内周转的次数n。这样我们就得到:p′=
,这就是年利润率的计算公式。
但是,投在一个企业中的可变资本究竟有多大,在绝大多数场合,连资本家自己也不知道。我们已经在第二册第八章看到,并且以后还会进一步看到,资本家认为他的资本中唯一的重大差别,是固定资本和流动资本的差别。如果资本家不把那个以货币形式留在自己手里的流动资本部分存入银行,而是放在自己的钱柜中,他就会从这个钱柜取出货币来支付工资,也会从这同一个钱柜取出货币来购买原料和辅助材料,把这两项记在同一个现金账户的贷方。即使他为所支付的工资开立一个特别的账户,这个账户到年终时所记下的也是支付的工资总额,是vn,而不是可变资本v本身。要确定这个v,他必须进行一种特别的计算。关于这种计算,我们不妨举一个例子。
我们仍用第一册第209/201页49曾经说过的那个拥有10 000个走锭纺纱机纱锭的纺纱厂为例,并且假定该厂1871年4月某一周的统计数字适用于全年。包含在机器中的固定资本是10 000镑。流动资本没有举出;我们假定它是2 500镑。这是一个相当高的估计,但是这种估计是有理由的,因为在这里我们总是必须假定没有信用业务,也就是没有他人的资本可供长期的或暂时的利用。每周产品按其价值来说由机器损耗20镑,预付的流动不变资本358镑(租金6镑,棉花342镑,煤炭、煤气、煤油10镑),在工资上支出的可变资本52镑和剩余价值80镑构成,因此:
20c(损耗)+358c+52v+80m=510。
可见,每周预付的流动资本=358c+52v=410;它的百分比构成=87.3c+12.7v。按全部流动资本2 500镑计算,就是2 182镑不变资本和318镑可变资本。因为一年的工资总支出等于52镑的52倍,即2 704镑,所以318镑可变资本在一年内几乎正好周转8(1/2)次。剩余价值率为80/52=153(11/13)%。根据这些要素,把m′=153(11/13),n=8(1/2),v=318,C=12 500这几个数值代入p′=m′nv/C公式,我们就可以算出利润率如下:

我们用p′=m/C这个简单的公式来验算一下。一年的全部剩余价值或利润等于80镑×52=4 160镑,除以总资本12 500镑,得33.28%,同上面的结果几乎相等,这是一个非常高的利润率,只有用暂时特别有利的条件(棉花价格非常便宜,而棉纱价格又非常高)才能说明,实际上,这样高的利润率当然不能在全年维持下去。
p′=m′nv/C公式中的m′n,如上所述,就是第二册所说的年剩余价值率。48在上述例子中,它等于153(11/13)%×8(1/2);用准确的数字来说,就是1 307(9/13)%。因此,有一个庸人51,看到第二册一个例子中提出的极高的年剩余价值率1 000%,感到十分惊奇,但他在这里看到这个从曼彻斯特活生生的实践中举出的事实,一个超过1 300%的年剩余价值率,也许就会平静下来了。在高度繁荣的时期,——当然,我们已经好久没有再经历这样的时期了,——这样的年剩余价值率,并不是什么罕见的事情。
顺便说一下,我们在这里有了一个关于现代大工业中资本的实际构成的例子。总资本分为12 182镑不变资本和318镑可变资本,合计12 500镑。用百分比表示,就是
v=100C。总资本只有
的部分用来支付工资,但这部分每年周转八次以上。
因为只有少数资本家才想到要对自己的企业进行这样的计算,所以,统计学几乎完全没有关于社会总资本的不变部分和可变部分的比例的记载。只有美国的国情调查,才提供了在现有条件下能够提供的情况,即每个生产部门所支付工资的总数及其所获利润的总数。尽管这种资料令人怀疑,因为它只是以工业家们自己的未经核实的报告为根据,但它仍然极为宝贵,是我们掌握的关于这个问题的唯一的资料。在欧洲,我们太温和了,没有要求我们的大工业家也这样暴露事实。——弗·恩·〕
46 见《马克思恩格斯文集》第6卷第326及以下几页。——83。